ГОСТ 30108-94
МЕЖГОСУДАРСТВЕННЫЙ СТАНДАРТ
Материалы и изделия строительные.
Определение удельной эффективной активности естественных радионуклидов.
Дата введения 1995-01-01
1 ОБЛАСТЬ ПРИМЕНЕНИЯ
Настоящий стандарт распространяется на неорганические сыпучие строительные материалы (щебень, гравий, песок, цемент, гипс и др.) к строительные изделия (плиты облицовочные, декоративные и другие изделия из природного камня, кирпич и камни стеновые), а также на отходы промышленного производства, используемые непосредственно в качестве строительных материалов или как сырье для их производства, и устанавливает методы определения удельной эффективной активности естественных радионуклидов для оценки строительных материалов и изделий в соответствии с требованиями, приведенными в приложении А, и порядок проведения контроля.
2 НОРМАТИВНЫЕ ССЫЛКИ
В настоящем стандарте использованы ссылки на следующие стандарты:
ГОСТ 8.326-89 ГСИ. Метрологическая аттестация средств измерений. Основные положения
ГОСТ 8.513-84 ГСИ. Поверка средств измерений. Организация и порядок проведения
ГОСТ 24104-88 Весы лабораторные общего назначения и образцовые. Общие технические условия
ГОСТ 29329-92 Весы для статического взвешивания. Общие технические требования
3 ОПРЕДЕЛЕНИЯ, ОБОЗНАЧЕНИЯ И СОКРАЩЕНИЯ
В настоящем стандарте применяют следующие термины и обозначения:
Естественные радионуклиды (ЕРН) — основные радиоактивные нуклиды природного происхождения, содержащиеся в строительных материалах: радий (226Ra), торий (232Th), калий (40K);
Удельная активность радионуклида (А) — отношение активности радионуклида в образце к массе образца, Бк/кг;
Удельная эффективная активность ЕРН (Аэфф) — суммарная удельная активность ЕРН в материале, определяемая с учетом их биологического воздействия на организм человека по формуле
(1)
где ARa, АTh, Аk — удельные активности радия, тория, калия соответственно, Бк/кг.
4 МЕТОДЫ ОПРЕДЕЛЕНИЯ УДЕЛЬНОЙ ЭФФЕКТИВНОЙ АКТИВНОСТИ ЕСТЕСТВЕННЫХ РАДИОНУКЛИДОВ
Настоящий стандарт устанавливает экспрессный и лабораторный методы определения удельной эффективной активности ЕРН в строительных материалах и изделиях.
4.1 Экспрессный метод
4.1.1 Назначение метода
Экспрессный метод предназначен для проведения:
— периодического и входного контроля сыпучих строительных материалов и отходов промышленного производства (далее — сыпучих материалов), а также строительных изделий в соответствии с действующими нормативными документами;
— предварительной оценки разрабатываемых горных пород в карьере (приложение Г).
Условием применения экспрессного метода является отсутствие загрязнения материалов и изделий техногенными радионуклидами.
4.1.2 Средства контроля
4.1.2.1 Переносные радиометры удельной эффективной активности ЕРН, использующие гамма-спектрометрический метод измерений (например, типа РКП-305МС), со следующими техническими характеристиками:
— нижний предел определения величины Аэфф не более 100 Бк/кг;
— относительная погрешность определения величины Аэфф не более 30 %.
4.1.2.2 Контрольный радионуклидный источник активностью от 100 до 1000 Бк для проверки воспроизводимости показаний радиометра.
4.1.2.3 Применяемая радиометрическая аппаратура должна подвергаться обязательным государственным метрологическим испытаниям в соответствии с ГОСТ 8.326 и ГОСТ 8.513, подтверждаемым сертификатами, и комплектоваться аттестованными в установленном порядке методиками выполнения измерений, обеспечивающими введение необходимых поправок и оценку погрешности результатов в условиях реальных измерений.
4.1.3 Порядок подготовки аппаратуры к проведению измерений и контроль ее работоспособности
Подготовку аппаратуры к проведению измерений проводят в соответствии с инструкцией по ее эксплуатации.
Для проверки работы аппаратуры перед началом и после выполнения рабочих измерений проводят измерения с помощью контрольного источника. Разница показаний между этими измерениями не должна превышать 5 %.
4.1.4 Порядок проведения контроля
4.1.4.1 При контроле сыпучих материалов на складе контрольные точки выбирают:
— на конусах или штабелях — по периметрам горизонтальных сечений с интервалом не более 10 м, высота нижнего сечения от подошвы конуса или штабеля должна быть не менее 1 м;
¾ на карте намыва — в узлах прямоугольной сети 10´10 м.
4.1.4.2 При входном контроле сыпучих строительных материалов контрольные точки выбирают в каждом транспортном средстве на расстоянии не менее 1 м от бортовой стенки:
— и железнодорожном транспорте (полувагоне и платформе) — не менее двух точек;
— в автомобильном транспорте — одну точку в центре кузова;
— на водном транспорте (на барже — площадке или бункерных судах) — не менее двух точек, расположенных вдоль оси судна.
4.1.4.3 При проведении контроля строительных изделий из них формируют прямоугольную призму с основанием не менее 1,2´1,2 м, и высотой 0,5 м или выбирают поддон (пакет) изделий, уложенных не в «елочку», с размерами не менее указанных н в центре верхней плоскости изделий выбирают контрольную точку.
4.1.4.4 Измерения проводят путем, установки блока детектирования радиометра в контрольной точке на ровной поверхности материала. За ровную принимают поверхность, на которой размеры выступов (впадин) не превышают диаметр блока детектирования.
В каждой контрольной точке проводят не менее трех последовательных измерений.
4.1.4.5 Для снижения влияния бокового излучения на результаты измерения должны проводиться на расстоянии не менее 20 м от зданий, сооружений, массивов горных пород и строительных материалов и изделий.
4.1.5 Правила обработки результатов измерений
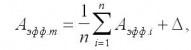
4.1.5.1 За результат определения величины Аэфф в контрольной точке принимают значение, определяемое по формуле:

(2)
где i = 1, 2, …, п — номер измерения в данной точке;
п — количество измерений в данной точке (n > 3);
Aэфф.i — значение величины Аэфф при i-м измерении;
D — абсолютная погрешность измерения, оцениваемая в соответствии с методикой выполнения измерений.
4.1.5.2 За результат определения величины удельной эффективной активности ЕРН в партии материала (Аэфф.п) принимают максимальное из значений Аэфф.т.j, полученных при измерениях в контрольных точках данной партии.
4.1.6 Правила оформления результатов контроля
Показания прибора и результаты контроля заносят в журнал по форме приложения Б.
В журнале регистрируют дату проведения контроля, наименование материала (изделия), привязку контрольных точек измерения, особенности условий измерений (расстояние от источника бокового излучения, температура воздуха и др.), показания прибора (значения удельной активности каждого радионуклида или удельной эффективной активности ЕРН в материале) с оценкой погрешности, результат определения величины Аэфф.п, предварительное заключение о классе материала.
В случае, если определенная при контроле величина Аэфф.п равна верхнему граничному значению, установленному для соответствующего класса, материал необходимо относить к следующему классу.
4.2 Лабораторный метод
4.2.1 Назначение метода
Лабораторный метод предназначен для:
— установления класса строительного материала (изделия);
— уточнения класса строительного материала (изделия) в случае получения граничных значений по экспрессному методу;
— сертификации продукции.
4.2.2 Средства контроля
4.2.2.1 Радиометрическая установка на основе стационарного гамма-спектрометра со следующими техническими характеристиками:
— диапазон энергии регистрируемого гамма-излучения от 0,1 до 3 МэВ;
— нижний предел определения удельной активности каждого ЕРН не более 50 Бк/кг;
— относительная погрешность определения удельной активности ЕРН не более 20 % при доверительной вероятности 0,95.
4.2.2.2 Комплект аттестованных мер (стандартных образцов) удельной активности ЕРН.
4.2.2.3 Вспомогательное оборудование:
— набор контейнеров для навесок материала установленного объема с крышками;
— лабораторная дробилка;
— контрольное сито с круглыми отверстиями диаметром 5 мм;
— весы настольные циферблатные по ГОСТ 29329 или лабораторные по ГОСТ 24104.
4.2.2.4 Радиометрическая установка должна иметь свидетельство о государственной метрологической аттестации и аттестованную в установленном порядке методику выполнения измерений удельной активности ЕРН.
4.2.3. Порядок подготовки аппаратуры к проведению контроля
Подготовку радиометрической установки к измерениям и измерения проводят в соответствии с методикой выполнения измерений.
4.2.4. Порядок проведения контроля
4.2.4.1 Отбор и подготовка проб
Определение удельных активностей ЕРН в сыпучих материалах проводят на навесках, отобранных из представительной пробы.
Представительную пробу получают путем перемешивания и квартования не менее 10 точечных проб, отобранных из контрольных точек, указанных в 4.1.4.1 и 4.1.4.2. Отбор проб производят в соответствии с требованиями действующих нормативных документов. Представительную пробу с размером зерен более 5 мм измельчают до размеров зерен менее 5 мм. В зависимости от объема применяемого в радиометрической установке контейнера пробу массой от 2,5 до 10 кг упаковывают в двойной мешок, между стенками которого помещают паспорт пробы с наименованием материала, адреса предприятия, направившего пробу, места и даты отбора пробы.
Определение удельных активностей ЕРН в строительных изделиях и облицовочных материалах из природного камня проводят также на навесках, отобранных из представительной пробы.
Представительную пробу массой от 2,5 до 10 кг получают путем измельчения изделий (кирпича, плит, около природного камня, полученных при производстве облицовочных материалов), отобранных при приемке партии согласно действующим нормативным документам. Допускается использование материала, полученного при определении предела прочности при сжатии, растяжении или изгибе изделий, или специально приготовленных образцов.
Представительную пробу с размером зерен менее 5 мм упаковывают в двойной мешок, как указано выше.
Для определения удельных активностей ЕРН полученные представительные пробы высушивают до постоянной массы, затем заполняют пять контейнеров и контейнеры взвешивают. Насыпную плотность определяют путем деления массы навески в каждом контейнере на объем контейнера.
Контейнеры герметично закрывают, маркируют и выдерживают в комнатных условиях в течение времени, установленного методикой выполнения измерений для получения радиоактивного равновесия ЕРН.
4.2.4.2 Контейнеры с навесками последовательно устанавливают в радиометрическую установку и проводят измерения в соответствии с методикой выполнения измерений.
4.2.5 Правила обработки и оформления результатов измерений и контроля
4.2.5.1 Обработку результатов и оценку погрешности измерений производят в соответствии с методикой выполнения измерений отдельно для каждой навески и для каждого из ЕРН.
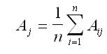
4.2.5.2 В качестве результатов измерений удельных активностей ЕРН в представительной пробе принимают средние арифметические значения удельных активностей каждого радионуклида (Аj) по пяти навескам:
(3)
где i = 1, 2, …, n — номер навески.
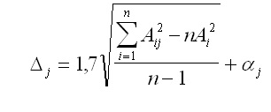
Абсолютную погрешность определения величины Аj вычисляют по формуле
(4)
где aj — абсолютная погрешность определения удельной активности j-го радионуклида в навесках пробы, оцениваемая в соответствии с методикой выполнения измерений на радиометрической установке.
4.2.5.3 Значение удельной эффективной активности ЕРН (Аэфф) для представительной пробы вычисляют в соответствии с формулой (1) с использованием значений Аj для каждого радионуклида.
Абсолютную погрешность определения значений Аэфф вычисляют по формуле

(5)
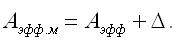
4.2.5.4 За результат определения удельной эффективной активности ЕРН в контролируемом материале и установления класса материала принимают значение, определяемое по формуле

(6)
4.2.5.5 Результаты определения удельной эффективной активности ЕРН в материалах заносят в журнал, в котором должны быть указаны:
— наименование материала;
— наименование предприятия-изготовителя или предприятия-потребителя;
— местоположение точек отбора пробы;
— даты отбора пробы и проведения измерений;
— удельные активности радия, калия, тория с погрешностями;
— удельная эффективная активность с погрешностью;
— фамилия, должность и подпись лица, проводившего измерения.
4.2.5.6 Результаты испытания материала оформляют в виде протокола испытаний по форме, приведенной в приложении В.
ПРИЛОЖЕНИЕ А (обязательное)
Критерии для принятия решения об использовании строительных материалов согласно гигиенических нормативов
Удельная эффективная активность (Аэфф), Бк/кг | Класс материала | Область применения |
| До 370 | I | Все виды строительства |
| Св. 370 до 740 | II | Дорожное строительство в пределах населенных пунктов и зон перспективной застройки, строительство производственных сооружений |
| От 740 до 1500 | III | Дорожное строительство вне населенных пунктов |
| Св. 1500 до 4000 | IV | Вопрос об использовании материала решается по согласованию с Госкомсанэпиднадзором |
Примечание – При необходимости в национальных нормах, действующих на территории государства, величина удельной эффективной активности естественных радионуклидов может быть изменена в пределах норм, указанных в таблице.