МУ 2.6.1. 2944-11 Контроль эффективных доз облучения пациентов при проведении медицинских рентгенологических исследований
Государственное санитарно-эпидемиологическое нормирование
Российской Федерации
2.6.1. ИОНИЗИРУЮЩЕЕ ИЗЛУЧЕНИЕ
РАДИАЦИОННАЯ БЕЗОПАСНОСТЬ
КОНТРОЛЬ ЭФФЕКТИВНЫХ ДОЗ ОБЛУЧЕНИЯ ПАЦИЕНТОВ
ПРИ ПРОВЕДЕНИИ МЕДИЦИНСКИХ
РЕНТГЕНОЛОГИЧЕСКИХ ИССЛЕДОВАНИЙ
Методические указания
МУ 2.6.1. 2944-11
Издание официальное
Москва — 2011
ББК
Контроль эффективных доз облучения пациентов при проведении медицинских рентгенологических исследований. Методические указания – М.: Федеральная служба по надзору в сфере защиты прав потребителей и благополучия человека.
1. Разработаны: Федеральное государственное учреждение науки «Санкт-Петербургский научно-исследовательский институт радиационной гигиены имени профессора П.В. Рамзаева» Федеральной службы по надзору в сфере защиты прав потребителей и благополучия человека (ФГУН НИИРГ) (В.Ю. Голиков, С.А. Кальницкий, С.С. Сарычева, А.А. Братилова).
2. Рекомендованы к утверждению Комиссией по государственному санитарно-эпидемиологическому нормированию при Федеральной службе по надзору в сфере защиты прав потребителей и благополучия человека (протокол от «__» 20 __г. №__).
3. Утверждены постановлением Главного государственного санитарного врача Российской Федерации Г.Г.Онищенко от «_19» __июля 2011г. №
.
4. Введены в действие с «__» 20__г.
5. Введены взамен Методических указаний «Контроль эффективных доз облучения пациентов при медицинских рентгенологических исследованиях» МУК 2.6.1. 1797-03.
ОГЛАВЛЕНИЕ
Стр. | ||
I. | Область применения | 4 |
II. | Нормативные ссылки | 5 |
III. | Общие положения | 5 |
IV. | Определение эффективных доз облучения пациентов при проведении рентгенологических исследований общего назначения | 7 |
4.3. | Определение эффективной дозы облучения пациентов на основе результатов измерения произведения дозы на площадь | 8 |
4.4. | Определение эффективной дозы облучения пациентов на основе результатов измерения радиационного выхода рентгеновского излучателя | 9 |
V. | Определение эффективных доз облучения пациентов при проведении рентгенологических стоматологических исследований | 11 |
VI. | Определение эффективной дозы облучения пациентов при проведении исследований на рентгеновском компьютерном томографе | 12 |
VII. | Определение эффективной дозы и максимальной поглощенной дозы в коже у пациентов при проведении интервенционных исследований | 16 |
VIII. | Определение эффективной дозы облучения пациентов при проведении маммографии | 18 |
IX. | Определение эффективной дозы облучения пациентов при проведении ударно-волновой литотрипсии | 20 |
Приложение 1. Значения коэффициентов Ke и Kd для рентгенологических процедур общего назначения | 22 | |
Приложение 2. Значения коэффициентов Ke и Kd для рентгеновских стоматологических исследований | 29 | |
Приложение 3. Значения коэффициентов перехода от ПДП к эффективной дозе и максимальной поглощенной дозе в коже у пациентов при проведении интервенционных исследований | 30 |
«УТВЕРЖДАЮ» Руководитель Федеральной службы по надзору в сфере защиты прав потребителей и благополучия человека, Главный государственный санитарный врач Российской Федерации,
__ Г.Г. Онищенко « » __ 2011 г.
Дата введения – с момента опубликования |
2.6.1. Ионизирующее излучение, радиационная безопасность
Контроль эффективных доз облучения пациентов
при проведении медицинских рентгенологических исследований
Методические указания
МУ 2.6.1. …….
I. Область применения
1.1. Методические указания «Контроль эффективных доз облучения пациентов при проведении медицинских рентгенологических исследований» (далее – Методические указания или МУ) являются документом, развивающим основные положения Норм радиационной безопасности НРБ-99/2009, Основных санитарных правил обеспечения радиационной безопасности ОСПОРБ 99/2010, Санитарных правил СанПиН 2.6.1.1192-03 в форме требований к методам контроля внешнего облучения пациентов.
1.2. Настоящими МУ должны руководствоваться в своей деятельности органы Федеральной службы по надзору в сфере защиты прав потребителей и благополучия человека, службы радиационной безопасности (радиационного контроля), организации, аккредитованные установленным порядком на право проведения радиационного контроля.
1.3. Методические указания распространяются на следующие виды медицинских рентгенологических исследований:
- исследования общего назначения (рентгенография, рентгеноскопия);
- стоматологические исследования;
- компьютерную томографию;
- интервенционные исследования;
- маммографию;
- ударно-волновую литотрипсию.
1.4. В целях обеспечения единства методических подходов к дозиметрическому контролю облучения граждан в рамках ЕСКИД настоящие Методические указания устанавливают:
- перечень исходных данных, необходимых для определения эффективных доз облучения пациентов;
- алгоритмы с таблицами параметров для расчета эффективных доз облучения пациентов при проведении медицинских рентгенологических исследований, указанных в п. 1.3, а в случае интервенционных исследований и максимальной поглощенной дозы в коже.
1.5. Настоящие МУ должны использоваться при подготовке радиационно-гигиенических паспортов организаций и статистической формы 3-ДОЗ.
II. Нормативные ссылки
2.1. Федеральный закон «О радиационной безопасности населения» № 3-Ф3 от 09.01.96.
2.2. Федеральный закон «О санитарно-эпидемиологическом благополучии населения» № 52-ФЗ от 30.03.99.
2.3. Нормы радиационной безопасности (НРБ-99/2009) СанПин 2.6.1.2523-09.
2.4. Основные санитарные правила обеспечения радиационной безопасности (ОСПОРБ-99/2010) СП 2.6.1.2612-10.
2.4. Приказ МЗ РФ от 24.07.97 № 219 «О создании единой государственной системы контроля и учета индивидуальных доз облучения граждан».
2.5. Гигиенические требования к устройству и эксплуатации рентгеновских кабинетов, аппаратов и проведению рентгенологических исследований. СанПиН 2.6.1.1192-03. Минздрав России. М. 2003.
III. Общие положения
3.1. При проведении медицинского исследования с использованием ионизирующего излучения необходимо оценить значение эффективной дозы облучения пациента.
3.2. Эффективная доза — величина, используемая как мера риска возникновения отдаленных последствий облучения всего тела человека и отдельных его органов и тканей с учетом их радиочувствительности. Определение значения эффективной дозы на практике представляет значительные сложности, т.к. она не может быть непосредственно измерена и требует проведения сложных расчетов. Исходные данные для расчета эффективной дозы облучения пациентов должны включать:
- технические характеристики рентгеновской аппаратуры (напряжение на аноде рентгеновской трубки, толщина и материал фильтра);
- геометрические характеристики рентгенологического исследования (область исследования, размеры поля облучения, геометрия облучения);
- дозиметрические характеристики рентгенологического исследования (радиационный выход рентгеновского излучателя и экспозиция (количество электричества) или значение произведения дозы на площадь (ПДП), измеренное с помощью проходной ионизационной камеры).
3.3. Значения эффективных доз рассчитывались с помощью компьютерной программы EDEREX (Effective Dose Estimation at Roentgen Examinations), разработанной в Федеральном радиологическом центре ФГУН НИИРГ. Программа позволяет в режиме реального времени рассчитать значения средних поглощенных доз в более чем 20 органах и тканях тела человека и эффективную дозу с учетом параметров рентгенологической процедуры, возраста и телосложения пациента.
Расчеты эффективной дозы в соответствии с ее определением (Публикация № 60 МКРЗ) проводились для условного человека, имеющего полный набор мужских и женских органов. В качестве моделей были использованы антропоморфные гетерогенные фантомы тела взрослого человека, а также детей в возрасте: новорожденного, 1, 5, 10 и 15 лет, рекомендованные в качестве “стандартных” для проведения такого рода расчетов (табл. 3.1).
3.4. В настоящих МУ приведены алгоритмы и значения коэффициентов перехода, позволяющие рассчитать эффективные дозы облучения пациентов различного возраста для наиболее часто встречающихся на практике рентгенологических процедур. Численные значения коэффициентов перехода соответствуют значениям эффективной дозы при проведении данного рентгенологического исследования, полностью определяемого набором технических, геометрических и дозиметрических параметров (см. п. 3.2), нормированным на значение поглощенной дозы в воздухе на расстоянии 1 м от фокуса трубки (Ke, мкЗв/(мГр×м2)), либо на значение ПДП, измеренное за время проведения исследования (Kd, мкЗв/(сГр×см2)).
Таблица 3.1. Параметры телосложения “стандартного” человека, использованные в расчетах
Возраст, лет | Вес, кг | Рост, см | Размеры торса, см | |
Передне-задний | Боковой | |||
0 | 3,5 | 51,5 | 9,8 | 12,7 |
1 | 9,3 | 75 | 13 | 17,6 |
5 | 19 | 109 | 15 | 22,9 |
10 | 31,9 | 138,6 | 16,8 | 27,8 |
15 | 54,4 | 164 | 19,6 | 34,5 |
Взрослый | 71,1 | 174 | 20 | 40 |
IV. Определение эффективных доз облучения пациентов при проведении рентгенологических исследований общего назначения
4.1. Определение эффективной дозы облучения пациентов при рентгенологических исследованиях общего назначения (рентгенография, рентгеноскопия) основано на использовании одной из двух измеряемых на практике величин: ПДП (сГр×см2) или радиационного выхода рентгеновского излучателя (мГр×м2/(мА×с)).
4.2. Для расчета эффективной дозы необходима следующая дополнительная информация, характеризующая:
поле рентгеновского излучения во время проведения рентгенологической процедуры
- значение анодного напряжения на рентгеновской трубке, кВ;
- толщину и материал общего фильтра (в настоящих МУ принято значение общего фильтра рентгеновского излучения эквивалентное 3 — 5 мм Al);
- значение количества электричества, мА×с;
параметры проведения рентгенологической процедуры
- область исследования (легкие, череп и т.п.);
- проекцию (переднее- задняя, заднее- передняя, боковая);
- размеры поля излучения (ширина и высота поля излучения на приемнике изображения), см×см;
- фокусное расстояние (расстояние от фокуса рентгеновской трубки до приемника изображения (РИП)), см;
пациента
- возраст: 0-0,5 года; 0,5-3 года, 3-8 лет, 8-13 лет, 13-19 лет, старше 19 лет.
4.3. Определение эффективной дозы облучения пациентов на основе результатов измерения произведения дозы на площадь
4.3.1. Значение ПДП при проведении рентгенологического исследования определяется по результатам измерений дозиметрами, использующими в качестве детектора проходную ионизационную камеру, устанавливаемую на выходе излучения из рентгеновской трубки. Измеритель произведения дозы на площадь работает в режиме реального времени, поэтому его показания отражают временные изменения в параметрах генерирования рентгеновского излучения, что обеспечивает достоверность результатов измерений и позволяет контролировать стабильность параметров рентгеновского аппарата в период его эксплуатации. В связи с этим, метод оценки эффективных доз облучения пациентов с помощью показаний проходной камеры является приоритетным.
4.3.2. Использование измерителей произведения дозы на площадь обязательно при проведении рентгенологических медицинских исследований общего назначения методом рентгеноскопии.
4.3.3. Значение эффективной дозы E облучения пациента данного возраста при проведении рентгенологического исследования определяется с помощью выражения:
E = F × Kd , мкЗв, (4.1)
где: F— измеренная величина произведения дозы на площадь, сГр×см2;
Kd – коэффициент перехода от значения ПДП к эффективной дозе у пациента данного возраста с учетом вида проведенного рентгенологического исследования, проекции, размеров поля, фокусного расстояния и анодного напряжения на рентгеновской трубке, мкЗв/(сГр×см2).
Пример 1.
Взрослому пациенту провели рентгеноскопию кишечника. Параметры рентгенологического исследования: размер поля 30´30 см2, фокусное расстояние 60 см, U = 90 кВ. Измеренное значение произведения дозы на площадь F = 1500 сГр×см2.
Находим в таблице 1.6 Приложения 1 значение дозового коэффициента, соответствующее выбранному режиму исследования пациента, Kd = 2,2 мкЗв/(сГр×см2). Подставляем значения F и Kd, в формулу (4.1) и рассчитываем значение эффективной дозы: E = 2,2 мкЗв/(сГр×см2)× 1500 сГр×см2 = 3300 мкЗв = 3,3 мЗв.
Пример 2.
Рентгеновский аппарат оборудован проходной ионизационной камерой.
Проведено рентгенографическое исследование грудной клетки в прямой и боковой проекции 16-ти летнего пациента. Значение ПДП при снимке в прямой проекции составило 25 сГр×см2, а при снимке в боковой проекции – 20 сГр×см2.
Находим в таблице 1.5 Приложения 1 значение дозовых коэффициентов, соответствующих выбранным режимам исследования пациента, Kd = 1,7 мкЗв/(сГр×см2) и Kd = 1,5 мкЗв/(сГр×см2).
Значение эффективной дозы у пациента будет равно: Е = 1,7 мкЗв/(сГр×см2) × 25 сГр×см2 + 1,5 мкЗв/(сГр×см2) × 20 сГр×см2 = 72,5 мкЗв = 0,073 мЗв.
4.4. Определение эффективной дозы облучения пациентов на основе результатов измерения радиационного выхода рентгеновского излучателя
4.4.1. Если рентгеновский аппарат не оборудован измерителем произведения дозы на площадь, определение эффективной дозы облучения пациента проводят с использованием периодически измеряемых значений радиационного выхода рентгеновского излучателя.
4.4.2. Под радиационным выходом рентгеновского излучателя в (мГр×м2)/(мА×с) понимается отношение мощности поглощенной дозы в воздухе в мГр/с, измеренной на расстоянии 1 м от фокуса рентгеновской трубки на оси первичного пучка рентгеновского излучения при заданных значениях анодного напряжения, к значению анодного тока.
4.4.3. Для целей определения эффективных доз у пациентов значения радиационного выхода рентгеновского излучателя должны измеряться не реже одного раза в год во всем диапазоне рабочих значений анодного напряжения рентгеновской трубки. Кроме того, измерения радиационного выхода должны проводиться каждый раз после ремонта, замены или изъятия комплектующих изделий рентгеновского аппарата, настройки или регулировки их технических параметров, влияющих на генерирование рентгеновского излучения. Измерения проводятся организациями, аккредитованными в установленном порядке на техническую компетентность и независимость.
4.4.4. Значение эффективной дозы E облучения пациента данного возраста при проведении рентгенологического исследования определяется с помощью выражения:
E = R × i × t× Ke , мкЗв (4.2)
где: R — радиационный выход рентгеновского излучателя, (мГр×м2)/(мА×с);
i— ток рентгеновской трубки, мА;
t -время проведения исследования, с;
Ke — коэффициент перехода от значения радиационного выхода рентгеновского излучателя к эффективной дозе облучения пациента данного возраста с учетом вида проведенного рентгенологического исследования, проекции, размеров поля, фокусного расстояния и анодного напряжения на рентгеновской трубке, мкЗв/(мГр×м2).
4.4.5. Значение радиационного выхода R для данного значения анодного напряжения на рентгеновской трубке U определяется с помощью линейной интерполяции с использованием двух измеренных величин радиационного выхода Rk и Rk+1 для ближайших значений анодного напряжения Uk и Uk+1 (Uk < U < Uk+1) с использованием выражения:
(4.3)
Пример.
Пациенту в возрасте 30 лет провели рентгенографию грудной клетки в задне-передней проекции.
Параметры рентгенологического исследования: размер поля 30´40 см2, фокусное расстояние 150 см, U = 90 кВ, количество электричества (экспозиция) i×t = 25 мА×с.
В соответствии с протоколом испытаний эксплуатационных параметров рентгеновского аппарата радиационный выход для анодных напряжений Uk = 80 кВ и Uk+1 = 100 кВ, составил Rk = 0,059 мГр×м2/(мА×с) и Rk+1 = 0,08 мГр×м2/(мА×с), соответственно. Подставляя эти значения в формулу (3), рассчитываем значение радиационного выхода для U=90 кВ: R = 0,059 + (0,08 — 0,059) × [(90-80) / (100 — 80)] = 0,07 мГр×м2/(мА×с).
Находим в таблице 1.6 Приложения 1 значение дозового коэффициента, соответствующее выбранному режиму Ke = 100 мкЗв/(мГр×м2). Подставляем значения R, i×t и Ke в формулу (4.2) и рассчитываем значение эффективной дозы: E = 0,07 ×25 ×100 = 175 мкЗв = 0,18 мЗв.
4.5. Средние значения коэффициентов перехода Ke и Kd для рентгенологических процедур общего назначения приведены в Приложении 1. В таблицах 1.1-1.6 приведены значения коэффициентов перехода к эффективной дозе для следующих возрастных групп пациентов:
- от новорожденного до полугода (табл. 1.1),
- от полугода до трех лет (табл. 1.2),
- от трех до восьми лет (табл. 1.3),
- от восьми до тринадцати лет (табл.1.4),
- от тринадцати до девятнадцати лет (табл. 1.5),
- старше девятнадцати лет (табл. 1.6).
В таблице 1.7 приведены значения коэффициентов перехода Ke и Kd для рентгенологических процедур при исследовании конечностей вне зависимости от возраста пациента.
4.6. Приведенные в таблицах 1.1 – 1.6 значения коэффициентов перехода Ke могут быть пересчитаны от значений расстояния от источника до приемника РИПтаб, указанных в таблицах, к другим значениям РИП’ с помощью соотношения:
, мкЗв/(мГр×м2) (4.4)
Значения коэффициентов перехода Kd практически не зависят от значений РИП, используемых при проведении рентгенологических процедур общего назначения.
4.7. Относительная погрешность значений дозовых коэффициентов Ke и Kd , рассчитанных для «стандартного» фантома, составляет ±10%. Усреднение значений дозовых коэффициентов Ke и Kd по возрасту (росту и весу) пациентов вносит дополнительную погрешность не более ±20%. Усреднение значений дозовых коэффициентов Ke и Kd по напряжению на рентгеновской трубке вносит дополнительную погрешность не более ±20%. Таким образом, приведенные в приложении 1 значения дозовых коэффициентов Ke и Kd имеют относительную погрешность ±30%.
V. Определение эффективных доз облучения пациентов при проведении рентгенологических стоматологических исследований
5.1. Рентгенологические стоматологические исследования (РСИ) являются одними из наиболее распространенных видов рентгенологических исследований населения. Стоматологические рентгеновские аппараты и, соответственно, технологии проведения РСИ разделяются на следующие группы:
- Рентгеновские аппараты для контактной съемки зубов. В этом случае пучок излучения выходит из рентгеновской трубки находящейся снаружи от пациента, а приемник излучения располагается в полости рта. Эта технология предназначается, в основном, для получения снимков отдельных зубов верхней и нижней челюстей.
- Пантомографические (ортопантомографические) рентгеновские аппараты предназначены для получения развернутого (панорамного) изображения слоя, включающего всю зубочелюстную систему или отдельные ее части.
- Дентальные компьютерные томографы, дающие возможность выявить положение, форму, размеры, строение и получить цифровое трехмерное изображение всей зубочелюстной системы, челюстно-лицевой области, верхнечелюстных пазух и височно-нижнечелюстных суставов пациента за одно исследование.
5.2. Для рентгеновских аппаратов, предназначенных для контактной съемки отдельных зубов, расчет эффективной дозы облучения пациента, подвергающегося диагностическому исследованию на этом типе аппаратов, проводится либо с помощью формулы 4.1 с использованием измеренного значения ПДП, либо с помощью формулы 4.2 с использованием значения радиационного выхода аппарата. Значения коэффициентов Kd и Ke для перечня исследований, проводимых на этом типе рентгеновских стоматологических аппаратов, приведены в Приложении 2 (табл. 2.1).
5.3. На ортопантомографических рентгеновских аппаратах проводится панорамная съемка зубов и цефалография. Расчет эффективной дозы облучения пациента, подвергающегося диагностическому исследованию на этом типе аппаратов, проводится либо с помощью формулы 4.1, либо с помощью формулы 4.2. Значения коэффициентов Kd и Ke для перечня исследований, проводимых на этом типе рентгеновских стоматологических аппаратов, приведены в Приложении 2 (табл. 2.2).
5.4. Дентальный компьютерный томограф позволяет провести построение 3D-объемного изображения всей сканируемой области и отдельных зон зубочелюстной системы в различных режимах визуализации костных и мягких тканей. Расчет эффективной дозы облучения пациента, подвергающегося исследованию на этом типе аппаратов, проводится либо с помощью формулы 4.1, либо с помощью формулы 4.2. Значения коэффициентов Kd и Ke для исследований, проводимых на этом типе рентгеновских стоматологических аппаратов, приведены в Приложении 2 (табл. 2.3).
Пример 1.
Сделан снимок резцов верхней челюсти при напряжении на трубке 60 кВ и значении количества электричества мАс = 1,6. В соответствие с протоколом испытаний эксплуатационных параметров рентгеновского аппарата радиационный выход для напряжения U = 60 кВ составил R = 0,036 мГр×м2/(мА×с). Находим в таблице 2.1 Приложения 2 значение дозового коэффициента, соответствующее выбранному режиму Ke = 55 мкЗв/(мГр×м2).
Значение эффективной дозы у пациента будет равно: Е = 0,036(мГр×м2)/(мА×с)×1,6мАс× 55 (мкЗв/(мГр×м2)) = 3 мкЗв.
Пример 2.
Проведена панорамная съемка зубов при напряжении на трубке 64 кВ. Значение ПДП составило 15 сГр×см2.
Находим в таблице 2.2 Приложения 2 значение дозового коэффициента, соответствующее выбранному режиму Kd = 0,8 мкЗв/(сГр×см2).
Значение эффективной дозы у пациента будет равно: Е = 15 сГр×см2 × 0,8 мкЗв/(сГр×см2) = 12 мкЗв.
Пример 3.
Проведено исследование зубов на дентальном компьютерном томографе 3D Accuitomo при напряжении на трубке 80 кВ, времени экспозиции 17 с. и токе 4 мА. Зона облучения 60×60 мм. В соответствие с протоколом испытаний эксплуатационных параметров рентгеновского аппарата радиационный выход для напряжения U = 80 кВ составил R = 0,04 мГр×м2/(мА×с).
Находим в таблице 2.3 Приложения 2 значение дозового коэффициента, соответствующее выбранному режиму Ke = 29 мкЗв/(мГр×м2).
Значение эффективной дозы у пациента будет равно: Е = 0,04(мГр×м2)/(мА×с)×68мАс×29 (мкЗв/(мГр×м2)) = 79 мкЗв.
VI. Определение эффективной дозы облучения пациентов при проведении исследований на рентгеновском компьютерном томографе
6.1. Распределение поглощенной дозы рентгеновского излучения в теле пациента при проведении медицинского исследования методом компьютерной томографии существенно отличается от такового при использовании традиционных методов рентгенографии или рентгеноскопии. В случае компьютерной томографии (КТ) распределение поглощенной дозы в исследуемом объеме более однородно за счет ротационной геометрии облучения. Перепад дозы от края к центру облучаемого объема (для средних размеров тела человека) составляет 2-3 раза, в то время как для традиционных методов рентгенографии или рентгеноскопии перепад дозы в передне-задней геометрии облучения пациента в 5-10 раз больше.
6.2. Основными дозиметрическими параметрами при проведении КТ являются:
- Компьютерно-томографический индекс дозы (Computed Tomography Dose Index, далее – CTDI) – интеграл профиля дозы за один оборот рентгеновской трубки, нормализованный к ширине рентгеновского луча. Служит мерой поглощенной дозы излучения за один оборот рентгеновской трубки. Является единственным непосредственно измеряемым дозиметрическим параметром при КТ. Единица измерения – мГр. Величина CTDI определяется техническими параметрами протокола КТ-исследования (сила тока и напряжение в рентгеновской трубке, время ротации, коллимация среза), конструктивными особенностями сканера (геометрическая эффективность детектора, фильтрация рентгеновского излучения) и не зависит от характеристик пациента.
- Произведение дозы на длину (Dose Length Product, далее – DLP) – является мерой поглощенной дозы излучения за все КТ-исследование с учетом длины сканируемой области и количества сканирований. Является производным расчетным параметром от CTDI. Единица измерения – мГр·см.
- Эффективная доза является производным расчетным параметром от значения DLP.
6.3. Метод оценки эффективной дозы при проведении КТ-исследования основан на измерениях поглощенной дозы в физических фантомах, имитирующих тело пациента. Измерения проводятся в соответствии со специальной методикой в гомогенных цилиндрических фантомах, изготовленных из полиметилметакрилата. Для моделирования в этих целях тела детей (0 – 15 лет) фантомы должны иметь диаметр 16 см. Тело взрослого человека разбивается на две анатомические части (голова + шея и туловище), которые моделируется цилиндрами диаметрами 16 см и 32 см, соответственно. Измерения производятся в четырех точках на глубине 1 см и в центре фантома. По результатам измерений определяется взвешенное значение CТDIw в сканируемом слое, являющееся оценкой средней поглощенной дозы в этом слое за один оборот рентгеновской трубки:
, мГр, (6.1)
где: CTDIc – результат измерения в центре фантома (мГр), а CTDIp – среднее значение результатов измерений в четырех точках на глубине 1 см в фантоме (мГр).
Значение CТDIw зависит от физико-технических характеристик аппаратуры (напряжения на трубке, фильтрации, толщины скана и др.) и пропорционально значению количества электричества (мАс) за один скан.
6.4. При технологии последовательного сканирования для характеристики исследования определяют значение произведения дозы на длину сканирования при исследовании соответствующей анатомической секции (индекс ‘i’) DLPi (мГр×см):
, мГр×см, (6.2)
где: – нормированное на единицу мАс значение взвешенного компьютерно- томографического индекса дозы (мГр/мАс); d — толщина скана, см; N — число сканов, а I — значение мАс на один скан.
6.5. При спиральной и многосрезовой технологиях сканирования часто увеличивают скорость движения стола пациента, что приводит к пропорциональному снижению дозы его облучения. Для характеристики скорости движения стола пациента используют такой технический параметр, как питч. Питч – это отношение сдвига стола за полную (360°) ротацию рентгеновской трубки к общей коллимации пучка рентгеновского излучения. Питч (далее – р, отн. ед.) рассчитывают по формуле:
, (6.3)
где: Δd – сдвиг стола за полную ротацию, см; N – число каналов сбора информации (количество сканируемых за одну ротацию срезов); Т – толщина среза, определяемая физической коллимацией, см.
Дозиметрическим параметром, учитывающим влияние питча на дозу облучения, является объемный взвешенный индекс – CTDIvol, который рассчитывают по формуле:
, мГр, (6.4)
где: CTDIw – взвешенное значение компьютерно- томографического индекса дозы ; а р – значение питча.
6.6. Для характеристики поглощенной дозы излучения за i-ое сканирование значение DLPiрассчитывают по формуле:
, мГр·см, (6.5)
где:Li– длина i- ой области сканирования.
Значение DLPtot, характеризующее поглощенную дозу излучения за все КТ-исследование. рассчитывают по формуле:
, мГр·см, (6.6)
где: DLPtot– произведение дозы на длину за все КТ-исследование, мГр·см; i – количество сканирований.
Символ Σ означает, что суммируется вклад в дозу облучения всех i-ых сканирований в рамках данного КТ-исследования (например, при сканировании нескольких анатомических областей или при исследовании до и после внутривенного введения контрастного вещества). Значения DLPtot и DLPi отображаются на консоли компьютерных томографов, произведенных после 2002 года. Если полное КТ-исследование состоит из одного сканирования, то DLPtot = DLPi.
6.7. Эффективная доза является производным расчетным параметром от значения DLP. Для расчета эффективной дозы используется формула:
, мЗв (6.7)
где: DLPi – произведение дозы на длину за i-тое сканирование, мГр·см;
– дозовый коэффициент для i-той анатомической области (см. таблицу 6.1), мЗв/(мГр·см).
Изменение значения коэффициента
в зависимости от области исследования обусловлено относительным распределением радиочувствительных органов в теле человека. Значения коэффициента
для взрослых пациентов представлены в таблице 6.1.
Таблица 6.1. Значения дозового коэффициента
в зависимости от области исследования для взрослых пациентов
Область исследования | Значение дозового коэффициента,
|
Голова | 0,0023 |
Шея | 0,0054 |
Грудная клетка | 0,017 |
Брюшная полость | 0,015 |
Малый таз | 0,019 |
Если сканированию во время КТ-исследования подвергалась только одна из частей тела (см. таблицу 6.1), то расчет эффективной дозы упрощается:
, мЗв (6.8)
где:
– дозовый коэффициент для соответствующей анатомической области мЗв/(мГр·см).
Очевидно, что при использовании тех же параметров процедуры значение эффективной дозы у детей будет выше из-за меньшего размера тела. В таблице 6.2 приведены значения дозовых коэффициентов
для детей различного возраста в виде соответствующих множителей по отношению к коэффициентам для взрослого пациента.
Таблица 6.2. Относительное увеличение коэффициентов
у детей различного возраста по отношению к взрослым
Возраст пациента | Область исследования | ||
Голова и шея | Грудная клетка | Брюшная полость и таз | |
Взрослые | 1,0 | 1,0 | 1,0 |
От тринадцати до семнадцати лет | 1,1 | 1,1 | 1,1 |
От восьми до тринадцати лет | 1,3 | 1,4 | 1,5 |
От трех до восьми лет | 1,7 | 1,6 | 1,6 |
От полугода до трех лет | 2,2 | 1,9 | 2,0 |
От новорожденных до полугода | 2,6 | 2,2 | 2,4 |
Пример 1.
Проведено КТ-исследование грудной клетки у взрослого пациента. Значение DLP = 210 мГр·см. Определим значение эффективной дозы по формуле 6.8: Е = 210 мГр·см ×0,017 = 3,6 мЗв. При таком же значении DLP значение эффективной дозы у ребенка 10 лет будет равно: Е = 210 мГр·см ×0,017×1,4 = 5,0 мЗв.
Пример 2.
В ходе КТ-исследования было выполнено сканирование шеи и грудной клетки у взрослого пациента. При сканировании шеи значение DLPi составило 470 мГр·см, а при сканировании грудной клетки – 400 мГр·см. Определим значение эффективной дозы по формуле 6.7: Е = 470 мГр·см × 0,0054 + 400 мГр·см × 0,017 = 9,3 мЗв.
VII. Определение эффективной дозы и максимальной поглощенной дозы в коже у пациентов при проведении интервенционных исследований
7.1. К интервенционным исследованиям относят рентгенологические исследования характеризующиеся сложностью проведения или введением в организм дополнительных веществ и приспособлений. Как правило, это хирургические вмешательства, проводимые чрескожным путем с использованием специальных инструментов под контролем рентгеновской визуализации. Эти исследования можно подразделить на два класса: диагностические и терапевтические. Терапевтические интервенционные исследования представляют собой рентгенологические исследования, совмещенные с хирургическими лечебными манипуляциями.
7.2. По сравнению с обычными рентгенологическими исследованиями интервенционные исследования характеризуются значительно бόльшими уровнями облучения пациентов. Риск возникновения стохастических эффектов вследствие облучения пациентов оценивают с помощью эффективной дозы. При проведении некоторых интервенционных исследований существует риск возникновения детерминированных эффектов кожи (эритема, эпиляция). Порог возникновения временной эритемы соответствует поглощенной дозе излучения в коже, равной 2 Гр, а порог постоянной эпиляции – 7 Гр. Таким образом, при проведении интервенционных исследований необходимо контролировать значения двух параметров: эффективной дозы – для оптимизации проведения исследования с целью снижения риска возникновения отдаленных последствий (стохастических эффектов), и максимальной поглощенной дозы в коже (МПДК) – для предотвращения возникновения детерминированных эффектов.
7.3. Определение эффективной дозы и МПДК пациентов при проведении диагностических и терапевтических интервенционных рентгенологических исследований основано на использовании результатов измерений произведения дозы на площадь ПДП с помощью проходной камеры за время исследования.
7.4. Значение эффективной дозы у взрослого пациента за время проведения интервенционных исследований определяется с помощью выражения (4.1). Значения коэффициента перехода в зависимости от анодного напряжения на рентгеновской трубке приведены для различных видов интервенционных исследований в таблицах 3.1 – 3.6 Приложения 3. Эти значения используют для расчета эффективной дозы у взрослых пациентов при проведении как диагностических, так и терапевтических интервенционных исследований. Значение для промежуточного значения анодного напряжения на рентгеновской трубке определяется с помощью линейной интерполяции, как в п. 4.4.5.
7.5. Значение МПДК пациента за время проведения интервенционного исследования определяется с помощью выражения:
, мГр, (7.1)
где: F— измеренная величина ПДП, Гр×см2;
– коэффициент перехода от измеренного значения ПДП к максимальной поглощенной дозе в коже пациента, мГр/(Гр×см2).
Значения
мало зависят от напряжения на аноде рентгеновской трубки (спектра излучения) и поэтому приведены в таблицах 3.7 – 3.9 Приложения 3 вне зависимости от этого параметра. Для исследований сосудов сердца значения
существенно различаются для диагностических и терапевтических интервенционных исследований. Контроль МПДК пациента при проведении интервенционных исследований конечностей не проводится, т.к. ее значение при этом виде исследований не приближаются к порогу детерминированных эффектов.
7.6. При превышении в ходе проведения интервенционных исследований контрольных значений ПДП, приведенных в таблице 7.1, возникает значительная вероятность возникновения кожной эритемы у пациента. При превышении контрольных значений ПДП следует наблюдать за состоянием кожи пациента в месте возможного переоблучения в течение 14 дней и при необходимости применять терапевтические меры.
7.7. В практике проведения интервенционных исследований следует использовать следующие основные пути снижения уровней облучения пациентов:
- минимальное время проведения рентгеноскопии, особенно с высокой мощностью дозы, и минимальное количество снимков за исследование;
- как можно меньший ток и как можно более высокое напряжение на аноде рентгеновской трубки;
- расположение рентгеновской трубки как можно дальше от пациента, а приемника изображения как можно ближе к пациенту;
- коллимация пучка излучения должна строго соответствовать размерам исследуемой области;
- уменьшение в режиме рентгенографии частоты съемки (количество кадров в секунду) до необходимого и достаточного уровня;
- по возможности, периодически менять угол наклона рентгеновской трубки в ходе исследования;
- в основном, работать в режиме низкой мощности дозы излучения, а режимы средней и высокой мощности дозы излучения использовать только для крупных пациентов.
Таблица 7.1. Контрольные значения ПДП для предотвращения детерминированных эффектов в коже
Вид исследования | Контрольные значения ПДП, Гр×см2 |
Ангиография сосудов сердца | 600 |
Ангиопластика сосудов сердца | 300 |
Ангиография сосудов головного мозга и каротидных зон | 300 |
Эмболизация сосудов головного мозга | 300 |
Диагностика органов брюшной полости и малого таза | 500 |
Лечение органов брюшной полости и малого таза | 500 |
VIII. Определение эффективной дозы облучения пациентов
при проведении маммографии
8.1. К проведению маммографии предъявляются специальные требования:
- используются рентгеновские трубки с молибденовым, родиевым и вольфрамовым анодом;
- в качестве фильтров используют пластины из молибдена (толщиной 30 мкм), родия (25 мкм) или палладия (40 мкм);
- напряжение на аноде трубки должно быть низким (22 – 35 кВ);
- расстояние от фокуса рентгеновской трубки до приемника изображения не должно быть меньше 60 см.
Согласно современным международным критериям качества проведения маммографии входная доза на поверхности молочной железы (толщиной 5 см в состоянии компрессии) не должна превышать 10 мГр.
8.2. Процедура оценки эффективной дозы облучения пациента при проведении маммографии состоит из следующих этапов:
- определяют значение входной дозы в воздухе (без учета обратного рассеяния) на поверхности молочной железы;
- рассчитывают среднее значение поглощенной дозы в молочной железе;
- рассчитывают значение эффективной дозы.
8.3. Для определения значения входной поверхностной дозы Dпов. используют:
- Значение ПДП (сГр×см2), измеренное с помощью проходной ионизационной камеры. Измерение ПДП необходимо производить вплотную к молочной железе на съемочном столике. Для получения значения входной дозы используют формулу:
, (8.1)
где S — площадь пучка излучения в плоскости проходной ионизационной камеры, см2.
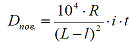
- Значение радиационного выхода R рентгеновского излучателя, (мГр×м2)/(мА×с). Для получения значения входной дозы используют формулу:
, (8.2)
где L– расстояние от фокуса трубки до поверхности съемочного столика, см; l- толщина молочной железы в состоянии компрессии, см; i— ток рентгеновской трубки, мА; t — время проведения исследования, с.
8.4. Для целей радиационной защиты необходимо определить среднее значение поглощенной дозы в молочной железе DЖ. Так как при маммографии используется низкоэнергетическое фотонное излучение, его ослабление по объему молочной железы будет значительным. Коэффициент перехода от значения входной дозы на поверхности молочной железы к средней дозе в молочной железе КЖ был определен на основании расчетов и фантомных экспериментов. Его значение в диапазоне используемых комбинаций анодного напряжения и фильтрации излучения варьируется в пределах от 0,09 до 0,6 в зависимости от анодного напряжения на трубке U и толщины компрессированной груди. Значения коэффициента КЖ приведены в таблице 8.1. Таким образом, среднее значение поглощенной дозы в молочной железе рассчитывается следующим образом:
, мГр (8.3)
Таблица 8.1. Значения коэффициента КЖ для расчета средней поглощенной дозы в молочной железе
1)Толщина груди в состоянии компрессии (l), см | Комбинация анод мишени + фильтр | ||||
Mo + 30мкм Mo |
Mo+25мкм Rh | W+60мкм Mo; Rh+25мкм Rh; Mo+25мкм Rh | W+50мкм Rh; W+40мкм Pd;
| ||
U=25-29 кВ | U=30—35кВ | U=30—35кВ | U=22-30 кВ | U=22-30 кВ | |
2 | 0,43 | 0,47 | 0,51 | 0,47 | 0,54 |
4 | 0,24 | 0,26 | 0,29 | 0,26 | 0,32 |
6 | 0,15 | 0,17 | 0,19 | 0,17 | 0,21 |
8 | 0,11 | 0,13 | 0,14 | 0,13 | 0,15 |
10 | 0,09 | 0,10 | 0,11 | 0,10 | 0,12 |
1) — для промежуточных значений толщины груди следует пользоваться линейной интерполяцией табличных значений, как в п. 4.4.5.
8.5. Для оценки вклада в эффективную дозу облучения молочной железы необходимо значение средней эквивалентной дозы в молочной железе HЖ умножить на взвешивающий фактор wT = 0,05. При оценке значения эффективной дозы вкладом облучения других органов от рассеянного излучения пренебрегают. Таким образом, с учетом того, что численное значение взвешивающего коэффициента wR для фотонного излучения принято равным единице, значение эффективной дозы рассчитывается следующим образом:
, мЗв, (8.4)
, мЗв;
Зв/Гр.
Пример.
Дано: комбинация анод трубки/фильтр – Mo/Mo; напряжение на трубке — 28кВ; значение экспозиции — 40 мАс; расстояние от фокуса трубки до поверхности съемочного столика равно 65 см; толщина компрессированной груди – 6 см.
Значение радиационного выхода берем из протокола испытаний эксплуатационных параметров рентгеновского аппарата. Допустим, что оно равно 0,03 (мГр×м2)/(мА×с). Значение коэффициента КЖ берем из таблицы 8.1, оно равно 0,15 для l = 6 см. Рассчитываем Е по формуле 8.3:
=0,026 мЗв.
IX. Определение эффективной дозы облучения пациентов при проведении ударно-волновой литотрипсии
9.1. Дистанционная ударно-волновая литотрипсия – современный неинвазивный метод лечения мочекаменной болезни. Суть метода заключается в дроблении конкремента (камня) ударной акустической волной, проходящей через тело пациента. Дробление камней в почке (а также в мочеточниках и мочевом пузыре) проводится с помощью специального аппарата – литотриптера. Аппарат генерирует ударную волну, фокусирует ее в узконаправленный пучок и, благодаря рентгеновскому или УЗИ–наведению, направляет его прямо на камень.
9.2. При проведении диагностики и лечения методом ударно-волновой литотрипсии могут быть использованы поля излучения разного диаметра (17, 22 и 33 см) с напряжением на трубке в диапазоне 70 – 100 кВ. Областью исследования являются почки, мочевой пузырь и прилегающие органы и ткани. Аппарат может работать как в рентгеноскопическом режиме, так и в режиме снимков.
9.3. Расчет эффективной дозы облучения пациента при проведении диагностики и лечения методом ударно-волновой литотрипсии проводится либо с помощью формулы 4.1, либо формулы 4.2. Средние (вне зависимости от диаметра поля излучения на приемнике изображения) значения коэффициентов перехода Kdи Ke для перечня режимов исследований приведены в таблице 9.1.
Таблица 9.1. Средние значения коэффициентов перехода Kdи Ke для расчета эффективной дозы у пациентов при проведении ударно-волновой литотрипсии
Напряжение на трубке, кВ | Область исследования — почки | Область исследования – мочевой пузырь | ||
Ke, мкЗв/(мГр×м2) | Kd,мкЗв/(сГр×см2) | Ke, мкЗв/(мГр×м2) | Kd, мкЗв/(сГр×см2) | |
70 | 150 | 2,0 | 210 | 2,6 |
80 | 180 | 2,5 | 240 | 3,1 |
90 | 200 | 2,7 | 260 | 3,4 |
100 | 230 | 3,0 | 300 | 3,9 |
Пример 1.
Проведено исследование и лечение почек при напряжении на трубке 70 кВ. Значение ПДП за исследование составило 700 сГр×см2. Находим в таблице 9.1 значение коэффициента перехода, соответствующее выбранному режиму, Kd = 2,0 мкЗв/(сГр×см2).
Значение эффективной дозы у пациента будет равно: Е = 700 сГр×см2 × 2,0 мкЗв/(сГр×см2) = 1400 мкЗв = 1,4 мЗв.
Пример 2.
Проведено диагностическое исследование области мочевого пузыря при напряжении на трубке 100 кВ. Время исследования под пучком 1 мин. 34 с. = 94 сек. Анодный ток – 3,1 мА.
Значение радиационного выхода берем из протокола испытаний эксплуатационных параметров рентгеновского аппарата. Допустим, что при U=100 кВ оно равно 0,02 (мГр×м2)/(мА×с).
Находим в таблице 9.1 значение коэффициента перехода, соответствующее выбранному режиму, Ke = 300 мкЗв/(мГр×м2).
Значение эффективной дозы у пациента будет равно: Е = 0,02 (мГр×м2)/(мА×с) × 3,1 мА × 94 с. × 300 мкЗв/(мГр×м2) = 1748 мкЗв = 1,75 мЗв.
Приложение 1
Значения коэффициентов Ke и Kd для рентгенологических процедур общего назначения
Таблица 1.1.
Возраст пациента от новорожденного до полугода | ||||||
Тип процедуры | Проекция | Размер поля (a x b), см×см | РИП, см | Напряжение на трубке, кВ | Ke,
| Kd,
|
Легкие (г) | ЗП | 13´18 | 100 | 50-70 | 320 | 13 |
Легкие (г) | ПЗ | 13´18 | 100 | 50-70 | 470 | 20 |
Легкие (г) | ЗП | 18´24 | 100 | 50-70 | 390 | 9 |
Легкие (г) | ПЗ | 18´24 | 100 | 50-70 | 570 | 13 |
Легкие (г) | Б | 13´18 | 100 | 60-80 | 380 | 16 |
Легкие (г) | Б | 18´24 | 100 | 60-80 | 490 | 11 |
Легкие (с) | ЗП | 15´15 | 40 | 60 | — | 15 |
Череп (г) | ПЗ | 13´18 | 100 | 50-70 | 115 | 5 |
Череп (г) | Б | 13´18 | 100 | 50-70 | 80 | 3 |
Позвоночник (г) | ПЗ | 18´24 | 100 | 50-70 | 620 | 14 |
Позвоночник (г) | Б | 18´24 | 100 | 50-70 | 440 | 10 |
Плечо, ключица (г) | ПЗ | 13´18 | 100 | 50-60 | 370 | 15 |
Таз (г) | ПЗ | 9´12 | 100 | 50-60 | 300 | 26 |
Тазобедренные суставы (г) |
ПЗ |
12´9 |
100 |
50-60 | 180 |
16 |
Бедро (г) | ПЗ | 13´18 | 100 | 50 | 170 | 7 |
Брюшная полость (г) | ЗП | 12´18 | 100 | 50-70 | 360 | 16 |
Брюшная полость (г) | Б | 12´18 | 100 | 50-70 | 330 | 15 |
Урография (г) | ПЗ | 12´18 | 100 | 50-70 | 560 | 25 |
Цистография (г) | ПЗ | 12´18 | 100 | 50-70 | 380 | 17 |
Таблица 1.2.
Возраст пациента — от полугода до трех лет | ||||||
Тип процедуры | Проекция | Размер поля (a x b), см×см | РИП, см | Напряжение на трубке, кВ | Ke,
| Kd,
|
Легкие (г) | ЗП | 18´24 | 100 | 50-70 | 260 | 5,8 |
Легкие (г) | Б | 18´24 | 100 | 60-80 | 290 | 6,8 |
Легкие (с) | ЗП | 20´20 | 40 | 60-70 | — | 7,3 |
Череп (г) | ПЗ | 18´24 | 100 | 50-60 | 90 | 2,0 |
Череп (г) | Б | 18´24 | 100 | 50-60 | 60 | 1,4 |
Шейный отд. позв. (г) | ЗП | 9´13 | 80 | 50-70 | 35 | 1,8 |
Шейный отд. позв. (г) | Б | 9´13 | 80 | 50-70 | 60 | 3,2 |
Грудн. отд. позв. (г) | ПЗ | 18´24 | 100 | 50-70 | 430 | 9,4 |
Грудн. отд. позв. (г) | Б | 18´24 | 100 | 50-70 | 200 | 4,4 |
Поясн. отд. позв. (г) | ПЗ | 18´24 | 100 | 50-70 | 490 | 11 |
Поясн. отд. позв. (г) | Б | 18´24 | 100 | 50-70 | 230 | 5,2 |
Плечо, ключица (г) | ПЗ | 13´18 | 100 | 50-60 | 200 | 7,9 |
Ребра, грудина (г) | ПЗ | 18´24 | 100 | 50-70 | 440 | 10 |
Таз, крестец (г) | ПЗ | 18´24 | 100 | 50-70 | 410 | 9,0 |
Тазобедр. суставы (г) | ПЗ | 18´24 | 100 | 50-70 | 310 | 6,9 |
Бедро (г) | ПЗ | 13´18 | 100 | 50-60 | 12 | 0,5 |
Брюшная полость (г) | ЗП | 18´24 | 100 | 50-60 | 250 | 5,5 |
Брюшная полость (г) | Б | 18´24 | 100 | 50-60 | 240 | 5,5 |
Желудок (с) | ЗП | 15´15 | 40 | 60 | — | 6,0 |
Желудок (г) | ЗП | 18´24 | 100 | 50-60 | 280 | 6,1 |
Желудок (г) | ПЗ | 18´24 | 100 | 50-60 | 400 | 8,9 |
Кишечник (с) | ЗП | 13´18 | 40 | 60 | — | 8,4 |
Кишечник (г) | ЗП | 18´24 | 100 | 50-60 | 240 | 5,2 |
Кишечник (г) | ПЗ | 18´24 | 100 | 50-60 | 400 | 8,6 |
Холецистография (г) | ЗП | 13´18 | 100 | 50-60 | 180 | 7,7 |
Урография (г) | ПЗ | 18´24 | 100 | 50-70 | 510 | 11 |
Цистография (г) | ПЗ | 18´24 | 100 | 50-60 | 330 | 7,3 |
Таблица 1.3.
Возраст пациента – от трех до восьми лет | ||||||
Тип процедуры | Проекция | Размер поля (a x b), см×см | РИП, см | Напряжение на трубке, кВ | Ke,
| Kd,
|
Легкие (г) | ЗП | 18´24 | 100 | 50-70 | 170 | 3,7 |
Легкие (г) | Б | 18´24 | 100 | 60-80 | 200 | 4,6 |
Легкие (с) | ЗП | 20´20 | 40 | 60-70 | — | 4,5 |
Череп (г) | ПЗ | 18´24 | 80 | 50-70 | 40 | 0,55 |
Череп (г) | Б | 18´24 | 80 | 50-70 | 30 | 0,45 |
Шейный отд. позв. (г) | ЗП | 15´15 | 80 | 50-60 | 23 | 0,56 |
Шейный отд. позв. (г) | Б | 15´15 | 80 | 50-60 | 19 | 0,49 |
Грудн. отд. позв. (г) | ПЗ | 18´24 | 100 | 50-70 | 290 | 6,1 |
Грудн. отд. позв. (г) | Б | 18´24 | 100 | 50-70 | 115 | 2,7 |
Поясн. отд. позв. (г) | ПЗ | 18´24 | 100 | 50-70 | 290 | 6,2 |
Поясн. отд. позв. (г) | Б | 18´24 | 100 | 50-70 | 115 | 2,7 |
Плечо, ключица (г) | ПЗ | 13´18 | 80 | 50-60 | 140 | 3,5 |
Ребра, грудина (г) | ПЗ | 18´24 | 100 | 60-80 | 330 | 7,2 |
Таз, крестец (г) | ПЗ | 18´24 | 100 | 50-70 | 310 | 6,8 |
Таз, крестец (г) | Б | 18´24 | 100 | 50-70 | 140 | 3,1 |
Тазобедр. суставы (г) | ПЗ | 18´24 | 100 | 50-70 | 280 | 5,9 |
Бедро (г) | ПЗ | 13´18 | 100 | 50-60 | 4 | 0,12 |
Брюшная полость (г) | ЗП | 24´30 | 100 | 50-70 | 250 | 3,2 |
Брюшная полость (г) | Б | 18´24 | 100 | 50-70 | 150 | 3,5 |
Желудок (с) | ЗП | 20´20 | 40 | 60-70 | — | 3,2 |
Желудок (г) | ЗП | 18´24 | 100 | 50-70 | 150 | 3,2 |
Желудок (г) | ПЗ | 18´24 | 100 | 50-70 | 26 | 5,7 |
Желудок (г) | Б | 18´24 | 100 | 50-70 | 160 | 3,8 |
Кишечник (с) | ЗП | 20´20 | 40 | 60-70 | — | 4,4 |
Кишечник (г) | ЗП | 18´24 | 100 | 50-70 | 170 | 3,8 |
Кишечник (г) | ПЗ | 18´24 | 100 | 50-70 | 300 | 6,4 |
Холецистография (г) | ЗП | 18´24 | 100 | 50-70 | 200 | 4,1 |
Урография (г) | ЗП | 18´24 | 100 | 50-70 | 200 | 4,3 |
Цистография (г) | ЗП | 18´24 | 100 | 50-70 | 180 | 3,8 |
Таблица 1.4.
Возраст пациента — от восьми до тринадцати лет | ||||||
Тип процедуры | Проекция | Размер поля (a x b), см×см | РИП, см | Напряжение на трубке, кВ | Ke,
| Kd,
|
Легкие (г) | ЗП | 24´30 | 100 | 50-70 | 200 | 2,6 |
Легкие (г) | Б | 24´30 | 100 | 60-80 | 230 | 3,1 |
Легкие (с) | ЗП | 20´20 | 40 | 60-70 | — | 3,5 |
Череп (г) | ПЗ | 18´24 | 100 | 50-70 | 17 | 0,36 |
Череп (г) | Б | 18´24 | 100 | 50-70 | 14 | 0,31 |
Шейный отд. позв. (г) | ЗП | 13´18 | 80 | 50-70 | 38 | 0,94 |
Шейный отд. позв. (г) | Б | 13´18 | 80 | 50-70 | 18 | 0,53 |
Грудн. отд. позв. (г) | ПЗ | 24´30 | 100 | 50-70 | 320 | 4,2 |
Грудн. отд. позв. (г) | Б | 18´24 | 100 | 50-70 | 76 | 1,8 |
Поясн. отд. позв. (г) | ПЗ | 24´30 | 100 | 50-70 | 290 | 3,8 |
Поясн. отд. позв. (г) | Б | 18´24 | 100 | 50-70 | 65 | 1,5 |
Плечо, ключица (г) | ПЗ | 13´18 | 80 | 50-60 | 35 | 0,86 |
Ребра, грудина (г) | ПЗ | 24´30 | 100 | 60-70 | 320 | 4,2 |
Таз, крестец (г) | ПЗ | 18´24 | 100 | 50-70 | 265 | 5,8 |
Таз, крестец (г) | Б | 18´24 | 100 | 50-70 | 90 | 2,1 |
Тазобедр. суставы (г) | ПЗ | 24´30 | 100 | 50-70 | 265 | 3,6 |
Бедро (г) | ПЗ | 13´18 | 80 | 50-60 | 2.3 | 0,1 |
Брюшная полость (г) | ЗП | 24´30 | 100 | 60-80 | 220 | 2,8 |
Брюшная полость (г) | Б | 24´30 | 100 | 60-80 | 150 | 2,1 |
Желудок (с) | ЗП | 15´15 | 40 | 60-70 | — | 2,3 |
Желудок (г) | ЗП | 18´24 | 100 | 50-70 | 92 | 2,0 |
Желудок (г) | Б | 18´24 | 100 | 50-70 | 100 | 2,3 |
Кишечник (с) | ЗП | 20´20 | 40 | 60-70 | — | 3,6 |
Кишечник (г) | ЗП | 18´24 | 100 | 50-70 | 125 | 2,8 |
Холецистография (г) | ЗП | 18´24 | 100 | 50-70 | 100 | 2,2 |
Урография (г) | ЗП | 24´30 | 100 | 50-70 | 170 | 2,3 |
Цистография (г) | ЗП | 24´30 | 100 | 50-70 | 170 | 2,2 |
Таблица 1.5.
Возраст пациента — от тринадцати до девятнадцати лет | ||||||
Тип процедуры | Проекция | Размер поля (a x b), см×см | РИП, см | Напряжение на трубке, кВ | Ke,
| Kd,
|
Легкие (г) | ЗП | 30´40 | 100 | 60-80 | 210 | 1.7 |
Легкие (г) | Б | 30´40 | 100 | 60-80 | 170 | 1.5 |
Легкие (с) | ЗП | 30´30 | 40 | 70-80 | — | 2.3 |
Флюорография | ЗП | 35´35 | 100 | 60-80 | 200 | 1.6 |
Череп (г) | ПЗ | 24´30 | 100 | 50-70 | 23 | 0.3 |
Череп (г) | Б | 24´30 | 100 | 50-70 | 18 | 0.23 |
Шейный отд. позв. (г) | ЗП | 18´24 | 80 | 60-70 | 35 | 0.53 |
Шейный отд. позв. (г) | Б | 18´24 | 80 | 60-70 | 22 | 0.36 |
Грудн. отд. позв. (г) | ПЗ | 24´30 | 100 | 60-80 | 210 | 2.8 |
Грудн. отд. позв. (г) | Б | 15´40 | 100 | 60-80 | 70 | 1.1 |
Поясн. отд. позв. (г) | ПЗ | 24´30 | 100 | 60-80 | 210 | 2.9 |
Поясн. отд. позв. (г) | Б | 15´40 | 100 | 60-80 | 64 | 1.1 |
Плечо, ключица (г) | ПЗ | 18´24 | 80 | 50-70 | 13 | 1.8 |
Ребра, грудина (г) | ПЗ | 24´30 | 100 | 60-80 | 220 | 3 |
Таз, крестец (г) | ПЗ | 30´24 | 100 | 60-80 | 170 | 2.5 |
Таз, крестец (г) | Б | 24´30 | 100 | 60-80 | 85 | 1.2 |
Тазобедр. суставы (г) | ПЗ | 24´30 | 100 | 60-80 | 240 | 3.4 |
Бедро (г) | ПЗ | 24´30 | 100 | 60-80 | 6 | 0.1 |
Брюшная полость (г) | ЗП | 24´30 | 80 | 60-80 | 210 | 1.9 |
Брюшная полость (г) | Б | 24´30 | 80 | 60-80 | 140 | 1.2 |
Желудок (с) | ЗП | 20´20 | 40 | 70-90 | — | 1.7 |
Желудок (г) | ЗП | 18´24 | 100 | 70-90 | 80 | 1.8 |
Желудок (г) | Б | 18´24 | 100 | 70-90 | 90 | 2.1 |
Кишечник (с) | ЗП | 20´20 | 40 | 70-90 | — | 2.9 |
Кишечник (г) | ЗП | 30´40 | 100 | 70-90 | 220 | 1.8 |
Холецистография (г) | ЗП | 24´30 | 100 | 60-80 | 100 | 1.4 |
Урография (г) | ЗП | 24´30 | 100 | 60-80 | 115 | 1.6 |
Цистография (г) | ЗП | 24´30 | 100 | 60-80 | 140 | 1.9 |
Таблица 1.6.
Возраст пациента — больше девятнадцати лет (взрослые) | ||||||
Тип процедуры | Проекция | Размер поля (a x b), см×см | РИП, см | Напряжение на трубке, кВ | Ke,
| Kd,
|
Легкие (г) | ЗП | 30´40 | 100 | 80-90 | 240 | 2,0 |
Легкие (г) | ЗП | 30´40 | 150 | 80-90 | 100 | 1,9 |
Легкие (г) | Б | 30´40 | 150 | 90-100 | 80 | 1,5 |
Легкие (с) | ЗП | 30´30 | 60 | 80 | — | 2,1 |
Легкие (с) +УРИ | ЗП | 30´30 | 60 | 60 | 370 | 1,4 |
Флюорография | ЗП | 35´35 | 100 | 80 | 220 | 1,8 |
Череп (г) | ПЗ | 24´30 | 100 | 60-70 | 50 | 0,7 |
Череп (г) | Б | 24´30 | 100 | 60-70 | 23 | 0,3 |
Шейный отд. позв. (г) | ЗП | 18´24 | 80 | 70-80 | 38 | 0,5 |
Шейный отд. позв. (г) | Б | 18´24 | 80 | 70-80 | 85 | 1,3 |
Грудн. отд. позв. (г) | ПЗ | 24´30 | 100 | 80 | 160 | 2,2 |
Грудн. отд. позв. (г) | ПЗ | 15´40 | 100 | 80 | 87 | 1,4 |
Грудн. отд. позв. (г) | Б | 24´30 | 100 | 80 | 95 | 1,3 |
Грудн. отд. позв. (г) | Б | 15´40 | 100 | 80 | 85 | 1,4 |
Поясн. отд. позв. (г) | ПЗ | 24´30 | 100 | 80 | 180 | 2,5 |
Поясн. отд. позв. (г) | ПЗ | 15´40 | 100 | 80 | 126 | 2,1 |
Поясн. отд. позв. (г) | Б | 24´30 | 100 | 90 | 71 | 1,0 |
Поясн. отд. позв. (г) | Б | 15´40 | 100 | 90 | 65 | 1,1 |
Плечо, ключица (г) | ПЗ | 24´18 | 100 | 70-80 | 37 | 0,9 |
Ребра, грудина (г) | ПЗ | 30´40 | 100 | 80 | 310 | 2,5 |
Ребра, грудина (г) | ПЗ | 24´30 | 100 | 80 | 180 | 2,4 |
Таз, крестец (г) | ПЗ | 40´30 | 100 | 80-90 | 240 | 2,0 |
Таз, крестец (г) | Б | 30´24 | 100 | 90-100 | 90 | 1,3 |
Тазобедр. суставы (г) | ПЗ | 24´30 | 100 | 70-90 | 230 | 3,1 |
Бедро (г) | ПЗ | 15´40 | 100 | 70-80 | 32 | 0,5 |
Пищевод (с) | ЗП | 20´35 | 60 | 90-100 | — | 2,1 |
Пищевод (с) +УРИ | ЗП | 20´35 | 60 | 60-70 | 265 | 1,4 |
Желудок (с) | ЗП | 24´30 | 60 | 90-100 | — | 1,9 |
Желудок (с) +УРИ | ЗП | 24´30 | 60 | 80 | 330 | 1,6 |
Желудок (г) | ЗП | 18´24 | 100 | 70-80 | 70 | 1,6 |
Желудок (г) | Б | 18´24 | 100 | 70-80 | 60 | 1,4 |
Кишечник (с) | ЗП | 30´30 | 60 | 90-100 | — | 2.2 |
Кишечник (г) | ЗП | 30´40 | 100 | 90-100 | 250 | 2,0 |
Кишечник (г) | Б | 30´40 | 100 | 100 | 160 | 1,3 |
Холецистография (г) | ЗП | 18´24 | 100 | 90 | 57 | 1,3 |
Холецистография (г) | ЗП | 24´30 | 100 | 90-100 | 115 | 1,6 |
Урография (г) | ЗП | 40´30 | 100 | 80-90 | 160 | 1,4 |
Цистография (г) | ЗП | 30´40 | 100 | 70-80 | 180 | 1,5 |
Примечания: 1) г — рентгенография, с — рентгеноскопия;
2) ПЗ – передне-задняя проекция, ЗП – задне-передняя проекция, Б — боковая проекция (в этом случае приведено среднее значение эффективной дозы из двух значений, рассчитанных для облучения слева и справа);
3) a — ширина поля, b — высота поля.
4) значения коэффициентов перехода Ke и Kd приведены для общего фильтра рентгеновского излучения эквивалентного 3 — 5 мм Al.
Значения коэффициентов Ke и Kd
для рентгенологических исследований конечностей
Таблица 1.7.
Область исследования | Проекция | РИП, см | U, кВ | Ke,
| Kd,
|
Верхние конечности | |||||
Плечевой сустав | ПЗ | 115 | 60 | 22 | 1,2 |
Плечевой сустав | Аксиальная | 105 | 57 | 15 | 1,2 |
Плечо | ПЗ/Б | 105 | 52 | 2/2 | 0,2/0,2 |
Локтевой сустав | ПЗ | 105 | 52 | 1 | 0,1 |
Локтевой сустав | Б | 105 | 52 | 1 | 0,1 |
Предплечье | ПЗ | 105 | 52 | 1 | 0,1 |
Предплечье | Б | 105 | 52 | 1 | 0,1 |
Запястье | Д.В. | 105 | 52 | 1 | 0,1 |
Запястье | Б | 105 | 52 | 1 | 0,1 |
Кисть | Б/Косая | 105 | 52 | 1 | 0,1 |
Палец | 105 | 52 | 1 | 0,1 | |
Нижние конечности | |||||
Шейка бедра | Аксиальная | 105 | 70 | 1170/84 | 2,8/2,5 |
Бедренная кость | ПЗ/Б | 115 | 70 | 80/14 | 2,0/1,3 |
Коленный сустав | ПЗ | 115 | 55 | 1 | 0,1 |
Коленный сустав | Б | 115 | 55 | 1 | 0,1 |
Мениск Коленная чашечка Голень |
ПЗ/Б/ Аксиальная |
105 |
55 | 1 |
0,1 |
Голеностопный сустав | ПЗ | 105 | 55 | 1 | 0,1 |
Голеностопный сустав | Б | 105 | 52 | 1 | 0,1 |
Пяточная кость | Б | 105 | 52 | 1 | 0,1 |
Пяточная кость | Аксиальная | 105 | 55 | 1 | 0,1 |
Стопа | Б | 105 | 52 | 1 | 0,1 |
Плюсна | Косая | 105 | 52 | 1 | 0,1 |
Пальцы ноги | 105 | 52 | 1 | 0,1 | |
Примечание: 1 — первая цифра соответствует размеру поля на приемнике 24´30 см, вторая — 18´24 см.
Приложение 2
Значения коэффициентов Ke и Kd для рентгенологических стоматологических исследований
Таблица 2.1. Значения коэффициентов Ke и Kd для контактной съемки зубов
Исследование |
U, кВ | Ke, мкЗв/(мГр×м2) | Kd, мкЗв/(сГр×см2) |
Верхняя челюсть | |||
Резцы | 50-70 | 55 | 2,0 |
Премоляры | 50-70 | 40 | 1,5 |
Моляры | 50-70 | 25 | 1,0 |
Съемка прикуса | 50-70 | 75 | 2,2 |
Нижняя челюсть | |||
Резцы | 50-70 | 30 | 1,0 |
Премоляры | 50-70 | 20 | 0,8 |
Моляры | 50-70 | 15 | 0,5 |
Съемка прикуса | 50-70 | 40 | 1,1 |
Таблица 2.2. Значения коэффициентов Ke и Kd для исследований на панорамных дентальных аппаратах
Исследование | Ke, мкЗв/(мГр×м2) | Kd, мкЗв/(сГр×см2) | ||||||
60 кВ | 70 кВ | 80кВ | 90кВ | 60 кВ | 70 кВ | 80кВ | 90кВ | |
Полная рентгенограмма | 2,3 |
0,8 | ||||||
Цефалостат | 1,1 | 1,4 | 1,7 | 2 | 0,5 | 0,6 | 0,7 | 0,8 |
Таблица 2.3. Значения коэффициентов Ke и Kd для исследований на дентальных компьютерных томографах (3D Accuitomo (60×60 мм), i-CAT, NewTom 3G, Galileos)
Исследование | Ke, мкЗв/(мГр×м2) | Kd, мкЗв/(сГр×см2) | ||||
Зубы + альвеолярные отростки верхней и нижней челюстей | 60-70 кВ | 80-90 кВ | 100-120 кВ | 60-70 кВ | 80-90 кВ | 100-120 кВ |
23 |
29 |
40 |
0,55 |
0,70 |
0,90 | |
Приложение 3
Значения коэффициентов перехода от ПДП к эффективной дозе и максимальной поглощенной дозе в коже у пациентов при проведении интервенционных исследований
Таблица 3.1. Значения дозовых коэффициентов перехода от измеренного значения ПДП к эффективной дозе у взрослого пациента для исследований сосудов сердца
Напряжение на рентгеновской трубке, кВ | , мЗв/(Гр×см2) |
70 | 0,19 |
80 | 0,22 |
90 | 0,24 |
100 | 0,27 |
110 | 0,29 |
Таблица 3.2. Значения дозовых коэффициентов перехода от измеренного значения ПДП к эффективной дозе у взрослого пациента для исследований сосудов головного мозга
Напряжение на рентгеновской трубке, кВ | , мЗв/(Гр×см2) |
60 | 0,06 |
70 | 0,08 |
80 | 0,09 |
90 | 0,10 |
100 | 0,11 |
110 | 0,12 |
Таблица 3.3. Значения дозовых коэффициентов перехода от измеренного значения ПДП к эффективной дозе у взрослого пациента для каротидных исследований
Напряжение на рентгеновской трубке, кВ | , мЗв/(Гр×см2) |
60 | 0,09 |
70 | 0,12 |
80 | 0,14 |
90 | 0,15 |
100 | 0,17 |
110 | 0,18 |
Таблица 3.4. Значения дозовых коэффициентов перехода от измеренного значения ПДП к эффективной дозе у взрослого пациента для интервенционных исследований в абдоминальной области и области малого таза
Напряжение на рентгеновской трубке, кВ | , мЗв/(Гр×см2) |
60 | 0,12 |
70 | 0,16 |
80 | 0,19 |
90 | 0,21 |
100 | 0,24 |
110 | 0,26 |
Таблица 3.5. Значения дозовых коэффициентов перехода от измеренного значения ПДП к эффективной дозе у взрослого пациента для исследований сосудов нижних конечностей
Напряжение на рентгеновской трубке, кВ | , мЗв/(Гр×см2) |
60 | 0,08 |
70 | 0,11 |
80 | 0,13 |
90 | 0,15 |
100 | 0,17 |
110 | 0,19 |
Таблица 3.6. Значения дозовых коэффициентов перехода от измеренного значения ПДП к эффективной дозе у взрослого пациента для исследований сосудов верхних конечностей
Напряжение на рентгеновской трубке, кВ | , мЗв/(Гр×см2) |
60 | 0,04 |
70 | 0,05 |
80 | 0,06 |
90 | 0,07 |
100 | 0,08 |
110 | 0,08 |
Таблица 3.7. Значения дозовых коэффициентов перехода от измеренного значения ПДП к максимальной поглощенной дозе в коже пациента для исследований сосудов сердца
Вид исследования | , мГр/(Гр×см2) |
Ангиография сосудов сердца | 3,5 |
Ангиопластика сосудов сердца | 7,0 |
Таблица 3.8. Значения дозовых коэффициентов перехода от измеренного значения ПДП к максимальной поглощенной дозе в коже пациента для исследований сосудов головного мозга и каротидных зон
Вид исследования | , мГр/(Гр×см2) |
Ангиография сосудов головного мозга и каротидных зон | 7,0 |
Эмболизация сосудов головного мозга | 7,0 |
Таблица 3.9. Значения дозовых коэффициентов перехода от измеренного значения ПДП к максимальной поглощенной дозе в коже пациента для исследований органов брюшной полости и малого таза
Вид исследования | , мГр/(Гр×см2) |
Диагностика органов брюшной полости и малого таза | 4,0 |
Лечение органов брюшной полости и малого таза | 4,0 |
